树的定义 @

树的结构是一个递归的定义,树是以分支关系定义的层次结构,树(Tree)是n(≥0)个结点的有限集,它或为空树(n=0),或为非空树,对于非空树 T:

  1. 有且仅有一个称之为根的结点.
  2. 除根结点以外的其余结点可分为 m(m>0)个互不相交的有限集T1,T2,…,Tm其中每个集合本身又是一棵树,并且称为根的子树.

树的基本术语 @

  • 结点:树中的一个独立单元,包含一个数据元素及若干指向其子树的分支。
  • 结点的度:结点拥有的子树数称为结点的度。
  • 树的度:树的度是树内各结点度的最大值。
  • 叶子:度为 0 的结点称为叶子或终端结点。
  • 非终端结点:度不为 0 的结点称为非终端结点或分支结点,除根节点之外,非终端结点也称为内部结点。
  • 双亲和孩子:结点的子树的根称为该结点的孩子,相应的,该结点称为孩子的双亲。
  • 兄弟:同一个双亲的孩子之间互称兄弟。
  • 祖先:从根到该结点所经分支上的所有结点
  • 子孙:以某结点为根的子树中的任一结点都称为该结点的子孙
  • 层次:结点的层次从根开始定义起,根为第一层,根的孩子为第二层,树中任一结点的层次等于其双亲结点的层次加 1。
  • 堂兄弟:双亲在同一层的结点互为堂兄弟。
  • 树的深度:树中结点的最大层次称为树的深度或高度。
  • 有序树和无序树:如果将树中结点的各子树看成从左到右是有次序的(即不能互换),则称该树为有序树,否则称为无序树。在有序树中最左边的子树的根称为第一个孩子,最右边的称为最后一个孩子。
  • 森林:森林是 m 棵互不相交的树的集合,对树中每个结点而言,其子树的集合即为森林。由此,也可以用森林和树相互递归的定义来描述树。
  • 任何一棵树都是一个二元组 Tree(root,F),其中 root 是根结点,F 是 m 棵树的森林。

二叉树 @

二叉树的定义 @

二叉树(Binary Tree)是n(n≥0)个结点所构成的集合,它或为空树(n=0),或为非空树,对于非空树T:

  • 有且仅有一个称之为根的结点
  • 除根结点以外的其余结点分为两个互不相交的子集T1和T2,分别称为T的左子树和右子树,且T1和T2本身又都是二叉树

二叉树与树的区别 @

  • 二叉树每个结点至多只有两棵子树,即二叉树中不存在度大于 2 的结点。
  • 二叉树的子树有左右之分,其次序不能任意颠倒

树与二叉树 ADT 定义 @

树的 ADT 定义 @

InitTree(&T)    //构造空树T
DestroyTree(&T)    //销毁树
CreateTree(&T,definition)    //definiton给出树T的定义,按照定义构造树T
ClearTree(&T)        //将树T清为空树
TreeEmpty(T)        //树存在,若T为空树,则返回true,否则false
TreeDepth(T)        //返回T的深度
Root(T)                //返回T的根
Value(T,cur_e)        //返回cur_e结点的值
Assign(T,cur_e,value)    //结点cur_e赋值为value
Parent(T,cur_e)        //若cur_e是T的非根结点,返回它的双亲
Leftchild(T,cur_e)    //若cur_e是T的非叶子结点,返回它的左孩子
RightSibling(T,cur_e)    //若cur_e有右兄弟,返回它的右兄弟
InsertChild(&T,p,i,c)    //p指向T中某个结点,$1\leq i\leq p$所指结点的度+1,非空树c与T不相交,插入c为T中p所指结点的第i棵子树。
DeleteChild(&T,p,i)        //p指向T中某个结点,$1\leq i\leq p$指结点的度,删除T中p所指结点的第i棵子树
TraverseTree(T)        //树T存在,按某种次序对T的每个结点访问一次.

二叉树的 ADT 定义 @

InitBiTree(&T)    //构造空树T
DestroyBiTree(&T)    //销毁树
CreateBiTree(&T,definition)    //definiton给出树T的定义,按照定义构造树T
ClearBiTree(&T)        //将树T清为空树
BiTreeEmpty(T)        //树存在,若T为空树,则返回true,否则false
BiTreeDepth(T)        //返回T的深度
Root(T)                //返回T的根
Value(T,cur_e)        //返回cur_e结点的值
Assign(T,cur_e,value)    //结点cur_e赋值为value
Parent(T,cur_e)        //若cur_e是T的非根结点,返回它的双亲
Leftchild(T,cur_e)    //若cur_e是T的非叶子结点,返回它的左孩子
RightSibling(T,cur_e)    //若cur_e有右兄弟,返回它的右兄弟
InsertChild(&T,p,i,c)    //p指向T中某个结点,$1\leq i\leq p$所指结点的度+1,非空树c与T不相交,插入c为T中p所指结点的第i棵子树。
DeleteChild(&T,p,i)        //p指向T中某个结点,$1\leq i\leq p$指结点的度,删除T中p所指结点的第i棵子树
PreOrderTraverse(T)    //先序遍历
InOrderTraverse(T)    //中序遍历
PostOrderTraverse(T)    //后序遍历
LevelOrderTraverse(T)    //层序遍历

二叉树的性质 @

  • 在二叉树的第 i 层上至多有 $2^i−1$ 个结点
  • 深度为 k 的二叉树至多有 $2^k−1$ 个结点
  • 对任何一棵二叉树 T,如果其终端结点数为$n_0$,度为 2 的结点数为$n_2$,则$n_0=n_2+1$.

满二叉树 @

  • 深度为 k 且含 $2^k−1$ 个结点的二叉树。
  • 每一层上的结点数都是最大结点数,即每一层 i 的结点数都具有最大值 $2^i−1$

完全二叉树 @

深度为k,有n个结点的二叉树,当且仅当其每一个结点都与深度为k的满二叉树中编号从1至n的结点一一对应,称之为完全二叉树,特点如下:

  • 叶子结点只可能在层次最大的两层上出现;

  • 对于任一结点若其右分支下的子孙的最大层次为l,则其左分支下的子孙的最大层次必为l或l+1.

  • 具有 n 个结点的完全二叉树的深度为$[log_2n]+1$.

  • 如果对一棵有n个结点的完全二叉树的结点按层序编号,(第一层到第$[log_2n]+1$层,每层从左到右),则对任一结点i:

    • 如果 i=1,结点 i 是二叉树的根,无双亲,如果 i>1,则其双亲是结点[i/2]
    • 如果 2i>n,则结点 i 无左孩子,否则其左孩子是结点 2i
    • 如果 2i+1>n,则结点 i 无右孩子,否则其右孩子是结点 2i+1

二叉树的存储结构 @

顺序存储结构 @

#define MAXTSIZE 100    //二叉树的最大结点数
typedef TElemType SqBiTree[MAXTSIZE] //0号单元存储根结点
SqBiTree bt;

顺序存储结构使用一组地址连续的存储单元存储数据元素,为表示结点间的逻辑关系,需要按一定次序存放在数组中,这里按层序存储如下:

image

图示是一棵满二叉树也是完全二叉树,对于完全二叉树,只要从根起按层序存储即可,依次从上而下,从左至右存储元素,而对于一般二叉树,如果用顺序存储结构,会非常浪费空间,如下图所示:

image

由此可见这种顺序存储结构仅适用于完全二叉树,因为在最坏情况下一个深度为 k 的 k 个结点的单支树,需要 $2^k−1$ 的一维数组来存放,对于一般的二叉树,通常使用链式存储更为合适。

链式存储结构 @

typedef struct BiNode{
    TElemType data;        //结点数据域
    struct BiTNode *lchild,*rchild;    //左右孩子指针
}BiTNode,*BiTree;

二叉树链式存储结构的结点由一个数据元素和分别指向左、右子树的两个指针构成,有时为了便于找到结点的双亲,还可在结点结构中增加一个指向双亲的结点指针域,这两种存储结构分别称为二叉链表和三叉链表。

二叉树的遍历 @

  • 先序遍历先访问根结点,再先序遍历左子树,然后先序遍历右子树
  • 中序遍历先中序遍历左子树,再访问根结点,最后中序遍历右子树
  • 后序遍历先后序遍历左子树,再后序遍历右子树,最后访问根结点
  • 递归遍历初始化一个栈存 s 放根节点,如果根节点不为空,则根节点入栈,循环遍历根的左子树,如果根节点为空,s 退栈,然后访问 s 的数据,循环遍历根的右子树。

遍历代码示例 @

//先序
void PreOrderTraverse(Bitree T){
    if (T){
        visit(T->data, level);
        PreOrderTraverse(T->ltree);
        PreOrderTraverse(T->rtree);
    }
}
//中序
void PreOrderTraverse(Bitree T){
    if (T){
        PreOrderTraverse(T->ltree);
        visit(T->data, level);
        PreOrderTraverse(T->rtree);
    }
}
//后续
void PreOrderTraverse(Bitree T){
    if (T){
        PreOrderTraverse(T->ltree);
        PreOrderTraverse(T->rtree);
        visit(T->data, level);
    }
}
//中序遍历非递归算法
void InOrderTraverse(BiTree t) {
    stack<BiTree> s;
    BiTree p = t;
    BiTNode *q = new BiTNode;
    while (p || !s.empty()) {
        if (p) {
            s.push(p);
            p = p->leftChild;
        }
        else {
            q = s.top();
            s.pop();
            cout << q->data;
            p = q->rightChile;
        }
    }
}

根据遍历序列确定二叉树 @

  1. 先序和中序序列可以唯一确定二叉树
  2. 后序和中序序列可以唯一确定二叉树
  3. 先序和后序无法唯一确定二叉树,因为后序序列先访问左再访问右,如 AB,BA,无法确定 B 是左子树还是右子树。

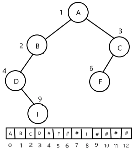
先序遍历的顺序建立二叉链表 @

算法步骤:

  • 扫描字符序列,读入字符 ch

  • 如果 ch 是一个’ ‘字符,则表明该二叉树为空树,否则

    • 申请一个 结点空间
    • 给结点数据赋值
    • 递归创建左子树
    • 递归创建右子树

二叉树简易代码示例 @

typedef struct BiTNode {
    char data;
    struct BiTNode *leftChild, *rightChile;
}*BiTree,BiTNode;

int CreateTree(BiTree *t) {            //先序创建二叉树
    char c;
    scanf_s("%c", &c,1);
    if (c == ' ') {
        *t = NULL;
    }
    else {
        *t = (BiTNode *)malloc(sizeof(BiTNode));
        (*t)->data = c;        //t是指向BiTree的指针, *t表示BiTree,BiTree是指向BiTNode的指针,*t = *BiTNode
        CreateTree(&(*t)->leftChild);
        CreateTree(&(*t)->rightChile);
    }
    return 1;
}
int Traverval(BiTree t) {            //先序遍历
    if (t) {
        printf("%c", t->data);
        Traverval(t->leftChild);
        Traverval(t->rightChile);
    }
    return 0;
}
void InOrderTraverse(BiTree t) {    //中序遍历的非递归算法
    stack<BiTree> s;
    BiTree p = t;
    BiTNode *q = new BiTNode;
    while (p || !s.empty()) {
        if (p) {
            s.push(p);
            p = p->leftChild;
        }
        else {
            q = s.top();
            s.pop();
            cout << q->data;
            p = q->rightChile;
        }
    }
}
void Copy(BiTree t, BiTree &tre) {    //复制二叉树
    if (!t) {
        tre = NULL;
    }
    else{
        tre = new BiTNode;
        tre->data = t->data;
        Copy(t->leftChild, tre->leftChild);
        Copy(t->rightChile, tre->rightChile);
    }
}
int Depth(BiTree t) {                //计算深度
    if (!t)return 0;
    else {
        int m = Depth(t->leftChild);
        int n = Depth(t->rightChile);
        return m > n ? m + 1 : n + 1;
    }
}
int NodeCount(BiTree t) {            //统计结点
    if (!t) {
        return 0;
    }
    else{
        return 1 + NodeCount(t->leftChild) + NodeCount(t->rightChile);
    }
}
//测试样例输出'A','B',' ',' ','C',' ',' ';
//输出ABC
int main() {
    BiTree t = NULL;
    CreateTree(&t);
    Copy(t, s);
    InOrderTraverse(s);
    cout<<Depth(t)<< NodeCount(t);
    Traverval(t);
    getchar();
    return 0;
}

线索二叉树 @

在普通的二叉树中,不论二叉树形态如何,子叶的左右指针域必然为空,也就是空链域的个数总是多过非空链域的个数,n 个结点的二叉链表共有 2n 个链域,非空链域为 n-1 个,空链域为 n+1 个。

image

为了有效利用空链域,当对二叉树进行中序遍历时可以得到二叉树得中序序列为 DBEAFCG,可以直观得看出各结点得前驱和后继,但这种关系只能在遍历中得知,因此在建立二叉树时如果记录前驱后继得关系,在后续的遍历会很方便。

现在将二叉树结点中多加两个标志位:

  • LTag,0 表示链接 lchild 域结点的左孩子,1 表示链接 lchild 域结点的前驱
  • RTag,0 表示链接 lchild 域结点的右孩子,1 表示链接 rchild 域结点的后继

试做如下规定:

  • 若结点有左子树,则其 lchild 域指示其左孩子,否则令 lchild 域指示其前驱。
  • 若结点有右子树,则其 rchild 域指示其后孩子,否则令 rchild 域指示其后继。

image

经过链接后,二叉链表的空链域得到了充分的利用,将这种存储结构称为线索链表,将空指针的连接方式称为二叉树的线索化,结构代码如下:

typedef enum {Link,Thread} Pointertag;    //Link链接,Thread线索
typedef struct BitNode
{
    char data;
    struct BitNode *ltree, *rtree;
    Pointertag rtag;
    Pointertag ltag;
}BitNode, *BitTree;

二叉树的中序线索化 @

线索化的过程其实是修改空指针的过程,为了记录遍历过程中访问结点的先后关系,附设一个指针 pre 始终指向刚刚访问过的结点,而指针 p 指向当前访问的结点,由此记录遍历过程中访问结点的关系。

算法步骤:

  • 如果 p 非空,左子树递归线索化。
  • 如果 p 的左孩子为空,则给 p 加上左线索,将 Ltag 置为 1,让 p 的左孩子指向 pre,否则将 p 的 Ltag 置为 0.
  • 如果 pre 的右孩子为空,则给 pre 加上右线索,将其 Rtag 置为 1,让 pre 的右孩子指向 p,否则将 pre 的 Rtag 置为 0.
BitTree pre;                        //指向刚刚访问过的节点
void InThreading(BitTree tree)        //中序遍历进行线索化
{
    if (tree){
        InThreading(tree->ltree);
        if (!tree->ltree){
            tree->ltag = Thread;
            tree->ltree = pre;
        }
        if (!pre->rtree){
            pre->rtag = Thread;
            pre->rtree = tree;
        }
        pre = tree;
        InThreading(tree->rtree);
    }
}
int InOrderThread_Head(BitTree *head, BitTree tree)    ///添加头节点的线索化
{
    (*head) = (BitTree)malloc(sizeof(BitNode));    
    if ((*head) == NULL){
        return 0;
    }
    (*head)->rtree = *head;
    (*head)->rtag = Link;
    if (!tree){
        (*head)->ltree = *head;
        (*head)->ltag = Link;
    }
    else{
        pre = *head;
        (*head)->ltree = tree;
        (*head)->ltag = Link;
        InThreading(tree);
        pre->rtree = *head;
        pre->rtag = Thread;
        (*head)->rtree = pre;
    }
}

遍历中序线索二叉树 @

二叉树经过线索化之后,实际上相当于将二叉树转化成了一个双向链表,遍历方式也非常简单,算法步骤如下:

  • 指针 p 指向根节点

  • p 为非空树或遍历未结束,循环以下操作

    • 沿左孩子向下,到达最左结点,访问此结点
    • 沿右线索反复查找当前结点的后继结点并访问,直至右线索为 0 或遍历结束。
    • 转向 p 的右子树,沿右子树的左孩子向下,重复此过程。

遍历过程如下:

image

代码示例:

void InOrderThreading(BitTree tree) {
        BitTree p = tree->ltree;
        while (p != tree){
            while (p->ltag == Link){    //到达最左结点
                p = p->ltree;
            }
            printf("%c", p->data);
            while (p->rtag == Thread && p->rtree != tree){    //访问后继结点
                p = p->rtree;
                printf("%c", p->data);
            }
            p = p->rtree;
        }
    }

线索二叉树总代码示例 @

typedef enum {Link,Thread} Pointertag;        //Link链接,Thread线索

typedef struct BitNode{
    char data;
    struct BitNode *ltree, *rtree;
    Pointertag rtag;
    Pointertag ltag;
}BitNode, *BitTree;

BitTree pre;                                //指向刚刚访问过的节点

//前序创建二叉树
void CreatBitTree(BitTree *tree){
    char c;
    scanf_s("%c", &c, 1);
    if (' ' == c){
        *tree = NULL;
    }
    else{
        *tree = (BitTree)malloc(sizeof(BitNode));
        (*tree)->data = c;
        (*tree)->rtag = Link;
        (*tree)->ltag = Link;
        CreatBitTree(&((*tree)->ltree));
        CreatBitTree(&((*tree)->rtree));
    }
}

//中序遍历进行线索化
void InThreading(BitTree tree){
    if (tree){
        InThreading(tree->ltree);
        if (!tree->ltree){
            tree->ltag = Thread;
            tree->ltree = pre;
        }
        if (!pre->rtree){
            pre->rtag = Thread;
            pre->rtree = tree;
        }
        pre = tree;

        InThreading(tree->rtree);
    }
}
//添加头节点
int InOrderThread_Head(BitTree *head, BitTree tree){
    (*head) = (BitTree)malloc(sizeof(BitNode));    
    if ((*head) == NULL){
        return 0;
    }
    (*head)->rtree = *head;
    (*head)->rtag = Link;
    if (!tree){
        (*head)->ltree = *head;
        (*head)->ltag = Link;
    }
    else{
        pre = *head;
        (*head)->ltree = tree;
        (*head)->ltag = Link;
        InThreading(tree);
        pre->rtree = *head;
        pre->rtag = Thread;
        (*head)->rtree = pre;
    }
}
//遍历二叉树
void InOrderThreading(BitTree tree) {
    BitTree p = tree->ltree;
    while (p != tree){
        while (p->ltag == Link){
            p = p->ltree;
        }
        printf("%c", p->data);
        while (p->rtag == Thread && p->rtree != tree){
            p = p->rtree;
            printf("%c", p->data);
        }
        p = p->rtree;
    }
}
//测试
int main(){
    BitTree mytree;
    BitTree temp;
    CreatBitTree(&mytree);
    InOrderThread_Head(&temp, mytree);
    InOrderThreading(temp);
    system("pause");
    return 0;
}

树和森林 @

树的存储结构 @

双亲表示法 @

以一组连续的存储单元存储树的结点,每个结点除了数据域 data 外,还附设一个 parent 域用以指示其双亲结点的位置,双亲表示法的结点形式如下图

image

下图所示是一棵树及其双亲表示的存储结构

image

这种存储结构的优点是求结点的双亲和根比较方便,但求结点的孩子时需要遍历整个结构,可以对结点进行改进,比如增加左右兄弟的指针域用来指示兄弟的位置。

双亲表示法结构定义代码

#define MAX_SIZE 100
typedef int TElemType;                //结点数据类型
typedef struct PTNode{
    TElemType data;                    //结点数据
    int parent;                        //双亲位置
}PTNode;
typedef struct{                        //树结构
    PTNode nodes[MAX_TREE_SIZE];    //结点数组
    int r,n;                        //根的位置和结点数
}PTree;

孩子表示法 @

由于树中每个结点可能有多棵子树,可以使用多重链表,即每个结点有多个指针域,其中每个指针指向一棵子树的根节点,这种方法叫做多重链表表示法,由于树的每个结点的度不同,可以设计两种方案来解决。

  • 方案一,指针域的个数就等于树的度,但是如果树中各结点的度相差很大时,显然是浪费空间的,因为很多结点并没有利用,如下图所示

image

  • 方案二,针对方案一进行改进,这种方案每个结点指针域的个数等于该结点的度,额外使用一个位置来存储结点指针域的个数,这种方法克服了浪费空间的缺点,但由于各结点的链表结构不同,在运算上会带来时间的损耗,方法实现如下图

image

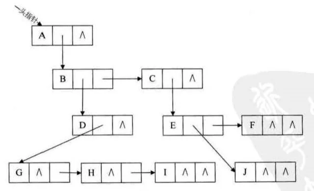
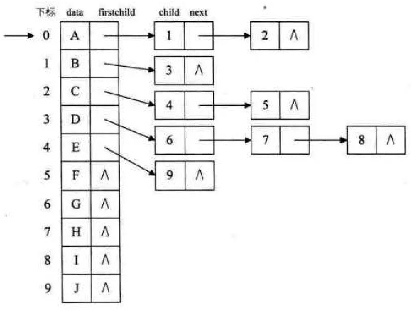
  • 孩子表示法,上述方案都有缺点,因此有了第三种方案,也就是孩子表示法,具体是将每个结点的孩子结点排列起来,以单链表作存储结构,则 n 个结点有 n 个孩子链表,如果是叶子结点则此单链表为空,然后 n 个头指针又组成一个线性表,如下图所示

image

这种结构方便查找某个结点的孩子、兄弟等,遍历整棵树也十分方便,孩子表示法结构定义代码

#define MAX_TREE_SIZE 100
typedef struct CTNode{    //孩子结点
    int child;
    struct CTNode *next;
}*ChildPtr;
typedef struct{            //表头结构
    TElemType data;
    ChildPtr firstchild;    //头指针域,存储该结点的孩子链表的头指针
}CTBox;
typedef struct{            //树结构
    CTBox nodes[MAX_TREE_SIZE];
    int r,n;            //根的位置和结点数
}CTree;

这种结构的缺点是如果要知道某个结点的双亲,需要遍历整个树,因此可以将双亲表示法和孩子表示法结合起来,也被称为双亲孩子表示法,如下图所示

image

孩子兄弟表示法 @

上述的方案是从双亲和孩子的角度考虑树的存储结构,如果从树结点的兄弟考虑,会发现,任意一棵树,它的结点的第一个孩子如果存在就是唯一的,它的右兄弟如果存在也是唯一的,因此可以设置两个指针,分别指向该结点的第一个孩子和其结点的右兄弟,结构代码如下:

typedef struct CSNode{
    TElemType data;
    struct CSNode *firstchild,*rightsib;
}CSNode,*CSTree;

方法实现如图所示

image

这种结构只需要通过 firstchild 找到结点的长子,再通过长子结点的 rightsib 找到其兄弟结点,可以在此结构上增加一个 parent 指针域来快速查找双亲,这种表示法最大的好处是把一棵复杂的树变成了二叉树,便于利用二叉树的算法来实现对树的操作,上图经过变形后,如下图所示:

image

森林与二叉树的转换 @

树转换为二叉树 @

  1. 加线,在所有兄弟结点之间加一条线
  2. 去线,对树中每个结点,只保留它与第一个孩子结点的连线,删除它与其他孩子结点之间的连线。
  3. 层次调整,以树的根结点为轴心,将整棵树顺时针旋转一定角度,使结构层次分明,注意第一个孩子是二叉树结点的左孩子,兄弟转换过来的孩子是结点的右孩子。

image

森林转换为二叉树 @

森林是由若干棵树组成的,所以可以理解为,森林中的每一棵树都是兄弟,转化步骤如下

  1. 把每个树转换为二叉树
  2. 第一棵二叉树不动,第二棵树起,依次将后一棵二叉树的根结点作为前一棵树的根结点的右孩子,用线连接,就得到了二叉树。

image

二叉树转换为森林 @

一棵二叉树够转换成一棵树还是森林,需要看其根节点是否有右孩子,有就是森林,没有就是一棵树,转换森林步骤如下:

  1. 从根节点开始,若右孩子存在,把与右孩子结点的连线删除,再查看分离后的二叉树,若右孩子存在,则连线删除,这是一个递归过程,直到所有右孩子连线全部删除,即得到分离的二叉树
  2. 将每棵分离后的二叉树转换为树,即构成森林

image

树和森林的遍历 @

树的遍历分为两种方式

  1. 一种是先根遍历树,即先访问树的根结点,然后依次先根遍历根的每棵子树。
  2. 另一种是后根遍历,即先依次后根遍历每棵子树,然后再访问根结点。

森林的遍历也分两种方式

  1. 前序遍历,先访问森林中第一棵树的根结点,然后再依次先根遍历根的每棵子树,再依次用同样的方式遍历除去第一棵树的剩余树构成的森林。
  2. 后序遍历,先访问森林中第一棵树,后根遍历每棵子树,然后再访问根结点,再依次同样方式遍历除去第一棵树的剩余树构成的森林。

森林的前序遍历和二叉树前序遍历结果相同,森林的后序遍历和二叉树的中序遍历结果相同。