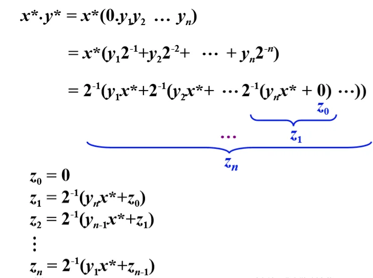
移位运算 @

移位的意义 @

在日常计算中将 15.0 小数点右移 2 位为 1500.0,计算机中小数点位置固定不变。所以需要将数据相对小数点进行移位。

在计算机中,移位与加减配合,能够实现乘除运算。

  • 左移,绝对值扩大
  • 右移,绝对值缩小

算术移位规则 @

  • 正数:原码、补码、反码添补代码都为 0

  • 负数:

    • 原码,添补代码为 0
    • 补码,左移添 0,右移添 1
    • 反码,添补代码为 1

符号位不变

算术移位举例 @

  1. 设机器数字长为 8 位(含 1 位符号位),写出 A=+26 时,三种机器数左、右移移位和两位后的表示形式及对应的真值,并分析结果的正确性。解: A=+26=+11010,则 A 的原码、补码、反码=0,0011010.

image

  1. 设机器数字长为 8 位(含 1 位符号位),写出 A=-26 时,三种机器数左右移一位和两位后的表示形式及对应的真值,并分析结果的正确性。

解: A=-26=-11010

原码表示:

image

补码表示:

image

反码表示:

image

算数移位的硬件实现 @

image

算术移位和逻辑移位的区别 @

  • 算术移位 有符号数的移位
  • 逻辑移位 无符号数的移位
  • 逻辑左移 低位添 0,高位移丢
  • 逻辑右移 高位添 0,低位移丢

例: 01010011

逻辑左移: 10100110

算术左移: 00100110

例: 10110010

逻辑右移: 01011001

算术右移: 11011001 (补码)

算术移位不会更改符号位,逻辑移位包括符号位全部移位。

加减法运算 @

补码加减法运算公式 @

  • 加法

image

  • 减法

image

连同符号位一起相加,符号位产生的进位自然丢掉。

例题 @

  • 设 A=0.1011,B=-0.0101,求[A + B]补

image

  • 设 A=-9,B=-5,求[A + B]补

image

  • 设机器数字长为 8 位(含 1 位符号位),且 A=15,B=24,用补码求 A-B

image

  1. 设 x=9/16,y=11/16,用补码求 x+y。 x+y=-0.1100=-12/16 (错)
  2. 设机器数字长为 8 位(含一位符号位)且 A=-97,B=+41,用补码求 A-B A-B=+1110110=+118 (错)

溢出判断 @

一位符号位判断溢出 @

参加操作的两个数(减法时即为被减数和”求补”以后的减数)符号相同,其结果的符号与原操作数的符号不同,即为溢出。

硬件实现:

最高有效位的进位 ⊕ 符号位的进位=1,即为溢出

有溢出:

  • 1⊕0=1,0⊕1=1

无溢出:

  • 0⊕0=0,1⊕1=0

两位符号位判断溢出 @

image

小数的补码可以以 2^k 为模,k 代表符号位的位数。

补码加减法的硬件配置 @

image

A 代表 ACC,Ga 与 Gs 是两个标记,如果是加法 Ga 置 1,如果是减法 Gs 置 1,求补控制逻辑判断 X 中如果是减法运算,则对 X 求补。

乘法运算 @

分析笔算乘法 @

image

笔算乘法改进 @

image

初态部分积为 0,然后需要分析乘数的数值部分 1011,最后一位为 1,则加 0.1101,相加后将部分积与乘数右移一位,部分积结果是 0.1101,分析乘数数值部分的末位,还是 1,再将整体右移一位,部分积为 0.0110,乘数为 1101,然后相加 0.1101,之后得到的结果 1.0011,将乘数右移一位,分析数值的末位是 0,则相加 0.0000,然后得到的结果分析数值末位是 1,将得到的结果右移一位,再相加 0.1101,结果为 1.0001,最后重复上述操作,结果为部分积与乘数之和,0.10001111.

小结 @

  • 乘法运算可用加和移位实现,n=4,加 4 次,移 4 次
  • 由乘数的末位决定被乘数是否与原部分积相加,然后->1 位形成新的部分积,同时乘数->1 位(末位移丢),空出高位存放部分积的低位。
  • 被乘数只与部分积的高位相加
  • 硬件,3 个寄存器,其中 2 个具有移位功能,1 个全加器。

原码乘法 @

原码一位乘运算规则 @

image

原码一位乘递推公式

image

例题 @

已知 x=-0.1110,y=0.1101,求[x.y]原。

image

  • 乘积的符号为:x0⊕y0=1⊕0=1
  • 数值部分按绝对值相乘,x .y=0.10110110,则[x.y]原=1.10110110.
  • 特点:绝对值运算,用移位的次数判断乘法是否结束,逻辑移位

原码一位乘的硬件配置 @

image

A、X、Q 均 n+1 位,移位和加受末位乘数控制,计数器用于计算移位的次数,s 代表符号位。

补码乘法 @

补码一位乘运算规则 @

以小数为例,设被乘数[x]补=x0x1x2⋯xn[x]补=x0x1x2⋯xn,乘数[y]补=y0y1y2⋯yn[y]补=y0y1y2⋯yn

  1. 被乘数任意,乘数为正
    与原码乘相似,但加和移位按补码规则运算,乘积的符号自然形成
  2. 被乘数任意,乘数为负
    乘数[y]补[y]补,去掉符号位,操作同 1,最后加[−x]补[−x]补,校正。
  3. Booth 算法(被乘数、乘数符号任意)

image

  1. Booth 算法递推公式

image

例题 @

已知 x=+0.0011,y=-0.1011,求[xy]补。

image

Booth 算法硬件配置

image

乘法小结 @

  • 整数乘法与小数乘法过程完全相同,可用逗号代替小数点
  • 原码乘 符号位单独处理,补码乘 符号位自然形成
  • 原码乘去掉符号位运算,即无符号数乘法
  • 不同的乘法运算需有不同的硬件支持

除法运算 @

分析笔算除法 @

image

比较被除数与除数的大小,除数比被除数大,商 0,然后除数移位变成 0.01101,被除数补零,此时除数小于被除数,商 1,余数继续右移一位,再比较余数与除数的大小关系,如果除数比余数大,商 0,否则商 1。

笔算除法和机器除法比较 @

  • 笔算除法

    • 商符单独处理,心算上商
    • 余数不动低位补”0”,减右移一位的除数
    • 2 倍字长加法器,上商位置不固定
  • 机器除法

    • 符号位异或形成
    • x -y>0 上商 1,x -y<0 上商 0
    • 余数左移一位低位补”0”,减除数
    • 一倍字长加法器,在寄存器最末位上商

原码除法 @

以小数为例

$$ [x]_{\text{原}} = x_0 x_1 x_2 \cdots x_n $$$$ [y]_{\text{原}} = y_0 y_1 y_2 \cdots y_n $$$$ [x/y]_{\text{原}} = (x_0 \oplus y_0) x^* / y^* $$

式中$x^*=0.x_1 x_2 \cdots x_n$为 x 的绝对值, $y^*=0.y_1 y_2 \cdots y_n$为 y 的绝对值

商的符号位单独处理$x_0⊕y_0$,数值部分为绝对值相除$x^*/y^*$

约定: 小数定点除法 x* < y ,整数定点除法 x > y*,被除数不等于 0,除数不能为 0

恢复余数法 @

x=-0.1011,y=-0.1101,求[x/y]原

image

image

恢复余数法不仅需要求 x 与 y 的原码,还要求 y 的补码与-y 的补码,用于减法运算。

x 是被除数,取其绝对值,加-y 的补码(相当于减去 y),第一次相加(x 与-y 的补码相加)表示试探,如果商 1,代表溢出,因为在小数定点机中,不能大于 1.如果商 0,代表余数为负,需要恢复余数,则加 y 的补码,得到商 0 前的余数,然后将余数逻辑左移一位,然后再加-y 的补码,得到的余数为正,再商 1,将余数左移一位,加-y 的补码,循环后得到最后的值,0.1101.此过程一共上商 5 次,第一次上商判断溢出,总共移位 4 次。

  • 余数为正,上商 1。
  • 余数为负,上商 0,恢复余数。

不恢复余数法(加减交替法) @

  • 恢复余数法运算规则

    • 余数 Ri>0,上商”1”,2Ri(余数)-y*
    • 余数 Ri<0,上商”0”,Ri+y* (恢复余数)
    • $2(R_i+y^∗)−y^∗=2R_i+y^∗$(左移一位乘 2,所以是 2Ri,通过这个值判断新的一次操作是上商 0 还是 1)
  • 不恢复余数法运算规则(加减交替,恢复余数法的改进)

    • 上商”1”,2Ri-y*
    • 上商”0”,2Ri+y*

例: x=-0.1011,y=-0.1101,求[x/y]原

image

首先还是求 x 与 y 绝对值的补码以及-y 绝对值的补码,首先加-y 绝对值的补码用于实现减 y 操作判断溢出,余数为负数,上商 0,然后执行 2Ri+y 操作,即余数左移一位,加 y 的补码,判断结果余数的正负,余数为正,商 1,执行 2Ri-y 操作,即余数左移一位,减去 y,循环计算得到结果。

结果:$x_0 y_0=1⊕1=0$

x /y=0.1101

[x/y]=0.1101

特点 @

  • 上商 n+1 次
  • 第一次上商判断溢出
  • 移位 n 次,加 n+1 次
  • 用移位的次数判断除法是否结束

原码加减交替除法硬件配置 @

image

移位和加控制逻辑负责判断加减。